大家好,我是喜欢整活的长春王力宏,LOR全部九个赛季大师。第一次在营地发帖,因为我不喜欢抄卡组,自己组的构筑与主流相差较大,所以就不给大家分享卡组了,作为数科院统计学专业毕业生,今天我跟大家简单聊聊LOR中的概率问题。

不同于象棋、围棋这种完全信息博弈,LOR属于不完全信息博弈,这种博弈中存在不透明、不公开信息,同时随机性是卡牌游戏的一大重要属性,就算是桥牌这种最为公平的国际牌类游戏,也无法脱离每局手牌的随机性,在叫牌、坐庄或与搭档配合防守时,都要时时刻刻算各种打法的成功概率,并随着牌局的推进计算更多后验概率。LOR把卡牌游戏的随机性又进一步扩大,不管是对方的手牌,牌库的顺序,陷阱的分布,祈愿,预言,显化,定向抽取,随机赋予等等游戏机制,到处都有随机性的影子(可谓是封死了做实体卡游戏的路),那么能对各种概率有准确的认知,就是我们应对随机性的有力武器。我不想一次性给大家灌注太多内容,今天关于概率的讲解,先从构筑开始。

亚索,是无数人的信仰,快乐的源泉,LOR中也不例外,关于亚索强不强的话题估计又能引发玩家的论战,只就事实说话,出了新手村后,亚索就从来没成为过主流构筑,被打上了娱乐卡组的标签,这是为什么呢?答案只有三个字,稳定性。我从来不否认亚索的强度,如果大家都手拿牌库打牌,亚索甚至强度可以在前半段,但是作为单核卡组,整个卡组都以亚索为核心,如果没有抓到亚索,或者亚索被解掉(很多时候你就算有了亚索,也不一定能抓到足够保护亚索的牌),那么这套牌几乎没有其他取胜手段,沦为娱乐卡组。再次澄清,娱乐卡组并非否定其强度,这类卡组往往上限很高,下限很低,稳定性差,大概率的时间处于组件不齐状态。那么亚索第4回合可以准时登场的概率有多少呢?首先,起手4张牌出现关键卡的概率为:
我们按起手无亚索就全换找亚索来计算,第4回合准时有亚索的概率为:

感觉上是不是还不错?其实作为单核卡组这种稳定性在LOR里就是很差的了,就算第3回合有个321帮过一张牌,压缩牌库效益:

概率也并不会有显著提升,一旦无法保护亚索,获胜可能性断崖式下降,稳定性差的卡组无法成为主流。

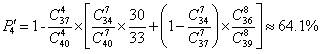
冰剑姬,单核卡组,由于有2费抽英雄的存在,其英雄上手率获得了保证,单单起手4张牌有剑姬的概率就是:

接近一半的概率,起手无剑姬全换后3费准时上手率为:
这个期望值代表每7局会有6局能3费准时获得剑姬英雄,稳定性大幅提升,在剑姬没削的那段时间里,使得冰剑姬可以成为主流构筑。

冰鸟,单核卡组稳定性天花板的存在,因为冰鸟费用高,而且10费之前也不是必下不可,使得玩冰鸟套的很少会出现无冰鸟英雄的情况,我们按构筑满冰鸟满2费抽英雄来算一下,6费时有冰鸟的概率为:
10费开悟时有冰鸟的概率为:
如果有221哨兵,彼岸一瞥等过牌存在的话,这个概率还会进一步上升,如果有跳费,开悟时间提前准时有冰鸟概率会下降,情况复杂大致估算即可。

佐伊盲僧,不算严格单核卡组,佐伊可做伪核,但其生存能力较差,我们只考虑一般的胜利手段,盲僧的入手率,5费准时有盲僧的概率为:
考虑到盲僧构筑有6张过牌,如果带322的话也可以获取写在星空来抽英雄,实际准时有盲僧概率会上升,不过仍旧属于主流构筑里稳定性较低的卡组,平均期望每4局中有3局能在关键的第7回合有盲僧。

比港烧,作为传统艺能的快攻套牌,这套牌前期吃展开,中期不做任何场面保护,靠频率压制和直伤结束战斗,这套牌构筑的重中之重就是1费单位带几个。我们的备选有以下几种:
为减少变量,现不考虑起手留英雄等关键牌,假定我们的行动原则是让起手1费单位尽可能多。如果带12个1费单位,第一回合有1费单位的概率为:

第二回合有3个1费单位的概率为:

如果带15个1费单位,则第一回合有1费的概率为:
第二回合有3个1费单位的概率为:
个人推荐带15个1费单位,充分发挥频率优势,保证前期抢血效率。
LOR中的概率问题比比皆是,终究不能三言两语介绍清楚,下一期我会讲解潜伏套是否带121寻宝人,对总体触发潜伏概率的影响,以及其他随机机制的概率计算等内容,敬请期待。
符文之地游戏交流群(QQ):160740083
个人直播间:虎牙21332549,长春王力宏(原名:名将复活)


