女伯爵作为光铸流的核心,受骑士强度的影响,天梯中的出场率也一直较低。这张卡从发布到增强,其强度也是众说纷纭,有些老哥觉得0费的传说牌很强,有些老哥则是觉得光铸构筑代价太大。所以笔者在此从数学期望的角度来分析下这张卡的强度和定位。
先上结论:女伯爵是一张很强的资源卡,但是在当前环境中尚不足以为其放弃优质中立卡。简言之,女伯爵一张卡带不动光铸骑。

1.收益
女伯爵的收益是3张2费的传说邀请函,每张可以发现一个其他职业的传说随从且费用为0。要分析其强度,先从发现机制和发现池谈起。
1.1 发现机制的稳定性
发现机制自探险家协会版本面世以来,便备受好评。相较于随机,发现机制**提升了期望值。
发现机制是玩家三选一。故可以将其抽象为:随机从卡池中抽取3张牌,并获得最好的那张。这可以近似看作最大次序统计量的问题,即
![]()
当卡池足够大的情况下,可以近似认为X1,X2,X3为均值分布的独立同分布变量(实际上并不是,因为发现不会出现三张相同的卡),那么其概率分布函数可表示为
![]()
t可以理解为每张牌对应的分位数,故卡池中随机一张牌在后20%的概率是20%。
而X(3)的概率分布函数可表示为
![]()
实战中,玩家更关注的是能否拿到更好的卡牌,于是此处令
![]()
可以绘制出发现和随机两种机制的概率图如下

可以看到,发现概率的曲线是要明显高于随机概率的,多出来的面积则反应了二者期望值的差距(0.75 VS 0.5)。我们以0.8和0.5这两点为例,可以算出如下结论:
随机给一张牌,其在卡池前20%的概率是20%,发现机制对应的概率是48.8%;
随机给一张牌,其在卡池前50%的概率是50%,发现机制对应的概率是87.5%。
这大致可以反映,发现一张好卡的概率接近一半,而发现一张能接受的卡概率接近九成。
回到女伯爵,其发现池共95张卡,如下

笔者对这些传说卡做了简单的梯度排行(部分单卡可能有争议,但这不重要,主要是看下每个梯度的数量)。T0有3张,T1有20张,T2有21张。根据上面的函数,可以算出每张传说邀请函开出强卡的概率值在85%左右。3张传说邀请函开出强卡的期望值约为2.5张,这也印证了笔者开篇说的,女伯爵是一张很稳定的资源卡。

| t | p(t) | |
| 获得一张上限卡 | 0.968 | 9.2% |
| 获得一张很棒的卡 | 0.758 | 56.4% |
| 获得一张还不错的卡 | 0.537 | 84.5% |
1.2 发现机制的灵活性
发现机制除了高期望外,还有一个很大的优势是灵活。换言之,玩家可以根据当前的形势去选择最合适的卡牌。
这点有多重要呢?在此举个例子:

姐夫的强度众所周知。姐夫强就强在,可以在合适的时间点干合适的事情。需要斩杀时可以提供火球术风怒,需要解场时可以提供乱斗冰环,需要占场输出时可以提供弗丁海巨人,还可以提供酸性沼泽软泥怪***这种对策卡。
上面笔者对女伯爵发现池的分级是按照单卡质量和对场面的影响这个角度来分的,更加偏向于站场输出维度。而在此笔者重新按照卡牌功能对卡池进行了分类。

邀请函一共有3张,故在此计算了一张、两张、三张邀请函能发现某一类别卡的概率。可以看出,三张中出现返场、伤害卡的可能性还算比较高,而资源、回复也有一定概率能找到。基于此,可以认为女伯爵是一张较为全能的资源卡。
| 卡牌类型 | 数量 | 一张发现概率 | 两张发现概率 | 三张发现概率 |
| 返场 | 14 | 38.4% | 62.0% | 76.6% |
| 伤害 | 10 | 28.6% | 49.1% | 63.7% |
| 资源 | 8 | 23.4% | 41.4% | 55.1% |
| 回复 | 6 | 18.0% | 32.7% | 44.8% |
| 过牌 | 4 | 12.2% | 23.0% | 32.4% |
| buff | 2 | 4.2% | 8.2% | 12.0% |
1.3 女伯爵的打出节奏
上面两点都是可以通过数学期望进行明确计算的,而这点就没那么好定量分析了,笔者只能在此做一些定性分析。
首先,女伯爵打出是至少是在7费,已经是对局中后期了。且7费的高昂费用也基本无法在回合内打出其他卡牌了,而女伯爵自身也没有突袭嘲讽等词条,不具备对场面交换的即刻干预能力。这两点决定了女伯爵的打出时机不太灵活,基本上等同于打出回合站了一个作战傀儡。
那么,7费打出一个作战傀儡到底亏不亏节奏呢?毫无疑问是亏的。到底有多亏呢?笔者看了下标准环境中的高费资源卡,感觉……好像大家的身材都差不多(所以这些卡都上不了场)。笔者又看了下标准的7费质量单卡,这些卡和作战傀儡的差距还是挺明显的。
综上,女伯爵打出当回合会明显亏节奏,这也是高费资源卡的通病。反过来说,要打出女伯爵就要想办法尽量创造对方输出压力不高的环境。

看完女伯爵自身,再来看传说邀请函。传说邀请函的费用由3费变为2费,这是一个比较大的加强。第一,这意味着7费拍下女伯爵后,8费就可以把3个邀请函全开了。而上面也提到过,邀请函出返场牌的概率还算较高,7费回合丢失的节奏可以8费回合弥补回来。第二,2费的传说邀请函,意味剩余很多费用可以干其他事情,比如法术返场、正常下怪、摇技能等。第三,改成2费后传说随从就基本不可能亏身材了,发现池中身材小于2费平均身材的随从是极个别的。
综上,传说邀请函是不亏节奏的,还有可能通过返场牌把节奏打回来。
2.限制
女伯爵对构筑的限制很简洁,即要求打出时牌库光铸。可以从两个角度看待这个事情,即光铸构筑会牺牲什么,以及不完全光铸构筑的可行性。
2.1 不完全光铸构筑可不可行
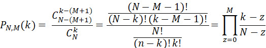
不完全光铸构筑毫无疑问会影响女伯爵的打出条件。在此需要讨论的是,加入中立牌数量与女伯爵打出概率的关系是什么样的。这个问题可以抽象为如下表达:卡组总数为N中立卡为M的情况下,摸到第k张牌时女伯爵可以打出的概率,也就是前k张牌里面同时含有M张中立卡和女伯爵的概率:

不考虑其他过牌,可近似认为回合数q与k的关系为q=k+3(先手起手摸3张牌,7费出女公爵,后手起手摸4张牌,6费跳币出女公爵),结合以上公式我们便可以得出如下曲线


可以看出,携带中立卡会严重影响女伯爵打出的概率。而女伯爵这种偏占场的资源卡,打出时机越晚就越弱,故光铸骑不完全光铸会很影响女伯爵的强度。如果想稳定触发女伯爵的打出条件,尽量不要带中立卡,不要走40路线。如果非要这么干,那就多带过牌。
2.2 光铸构筑会有什么影响?
这个问题还有一种更为明了的问法:圣骑士希望从中立卡中得到什么?笔者认为,答案有3。
- 抛弃中立卡意味着抛弃了稳定的终结手段。纵观这几个版本圣骑士的构筑,终端可以大致分为3类:占据场面后的爆发性输出,光铸凯瑞尔技能养成大怪直接斩杀,以及中立的优秀终结手段。这些终结手段分别对应了战场军官、重拳先生、卡扎库杉和德纳修斯大帝。没了这些卡,圣骑士会陷入难以一举致胜的窘境。
- 抛弃中立卡意味着抛弃了干扰手段。标准环境中最强的干扰卡:癫狂公爵西塔尔和吞噬者穆坦努斯都是中立卡。不能带这两张卡会导致圣骑士在面对有明确爆发点的后期卡组时不能有效干扰对面的蓄爆过程。同时控制卡组带这两张卡则对光铸骑的女伯爵以及手牌中的大怪有很大的克制作用。甚至剑圣奥卡尼和前沿哨所这种程度的干扰卡也不是光铸骑能够奢望的了。
- 抛弃中立卡意味着抛弃了一定的返场能力。之前圣骑士返场的好伙伴剑圣萨穆罗是中立卡,过牌解场于一身的瓦王是中立卡,神圣寿司卷和生而平等的完美搭档狂野炎术士是中立卡,甚至和圣骑士相性极好的并鳍奇兵也是中立卡。缺乏这些卡,导致光铸骑在对抗铺场更快更凶的卡组时只能寄希望于生平城建税一套,降低了对快攻的抗性。
这些问题显然不是一个女伯爵能弥补的,这也是笔者开头提到的,女伯爵的收益不足以放弃这么多优质的中立卡。
3.小结与展望
女伯爵虽然很强,但是在这个中立泛用强卡溢出的时代,光铸构筑的要求还是有些太严苛了。要想光铸可行,必须是圣骑士自身职业卡牌够强,强到能压制住这些中立强卡(但如果真有这么一天,圣骑士估计什么套路都是T1,也就不是非要光铸)。可能一个更合理的增强方式还是类似光鳐或者势利精英这样的,只要职业卡密度够高就行了。比如将你牌库中的圣骑士牌全部变为传说邀请函。
笔者最近一直在玩圣骑士,感觉有股深深的无力感。快攻爆发回合提前、慢速解场能力大幅增强的环境中,这种稳扎稳打的风格已经被压迫的没有出场空间了。笔者本来还想写一篇文章来分析下圣骑士职业卡中各个构筑核心的问题,不过既然迷你包马上出了,那就让我们先对圣骑士的新卡拭目以待吧,看看还能不能救回来。


