近日,北京大学北京国际数学研究中心公布了一道数学题,公开征求解答。
出题人是北京大学数学科学学院研究员、第49届和第50届国际数学奥林匹克竞赛满分金牌得主,人称“韦神”的韦东奕。
韦东奕目前主要从事偏微分方程和随机矩阵的理论研究,特别是解决了流动稳定性、随机矩阵领域中一系列重要的公开问题,以及波动方程中的一些经典问题。他的研究成果得到了国内外同行的广泛关注和好评,世界闻名的布尔巴基讨论班曾于2019年11月组织专题讨论班,讨论其在流动稳定性方面的相关成果。
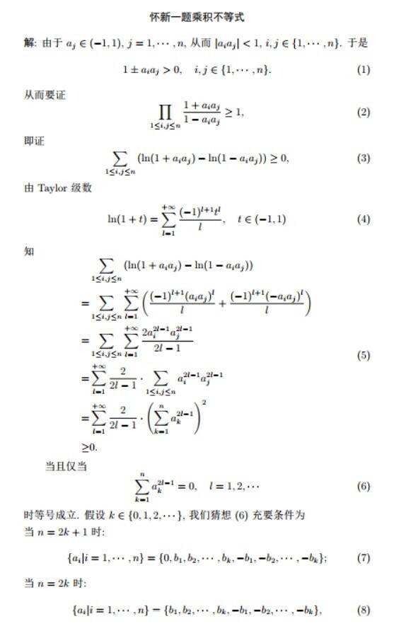
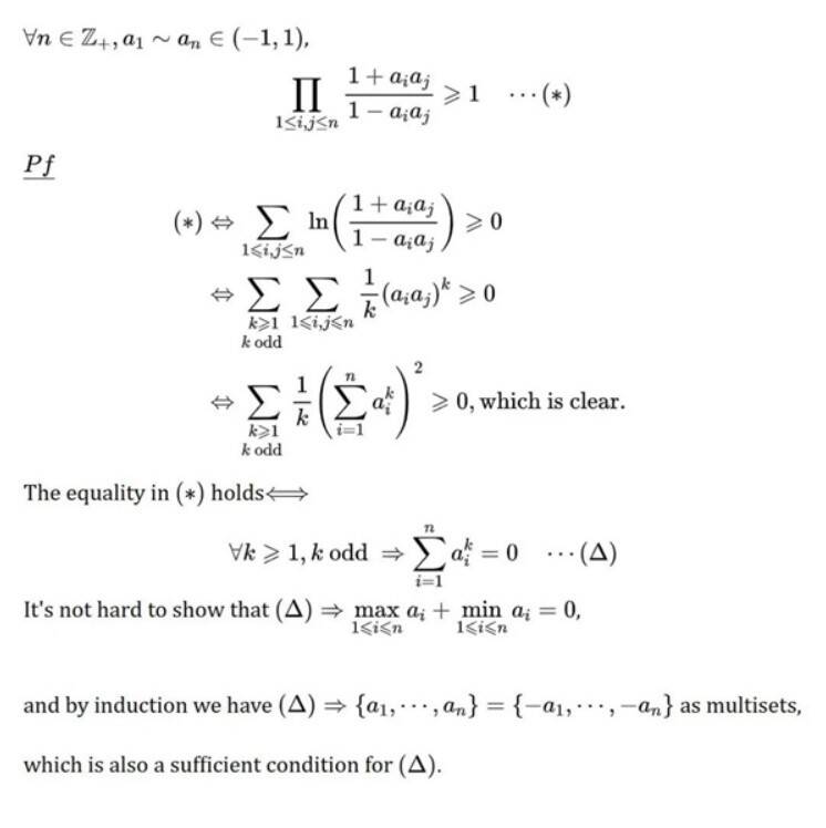
这道题主要考察幂级数和取对数的技巧。通过对不等式取对数,再用对数函数的Taylor级数,可以写成完全平方式求和的形式。
注意,这个不等式不能直接由n=2的情形推出。

题目公布后,已经有近百人提交了自己的答案。
韦东奕从中挑选了三份答案,作为“较好的解答举例”,公开展示给大家。韦东奕表示,题目的解答线索只有一个,因此挑选了三份相似度高的答案,都可以作为标准答案。
尤为值得一提的是,其中两个答案来自大学生,另一个则来自一位还在上初中二年级的同学,“韦神”都称赞其答案简洁、完备。


解答1 答题人来自国内某大学

解答2 答题人来自国内某中学

解答3 答题人来自海外某大学
北京国际数学研究中心的老师们还用这道题考验了一下GPT-4,结果直接给难倒,哪怕提示了5次,依然未能得到答案。
不过,中国科学院院士、北京大学数学科学学院教授、北京国际数学研究中心主任田刚也指出,目前看来,面对有挑战的数学问题,人类大脑更有优势,但是AI的升级速度非常快,越来越聪明,说不定哪天就能在这方面也赶超人类。

北京国际数学研究中心也给出了答题页面,各位感兴趣也可以试试看


